Алгебра. 8 класс. Домашняя работа к задачнику А.Г. Мордковича и др.: Бачурин, Мымрин
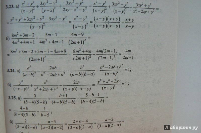
В пособии решены и в большинстве случаев подробно разобраны задачи и упражнения из задачника "Алгебра. 8 класс. В 2 ч. Ч. 2. Задачник для учащихся общеобразовательных организаций / [А. Г. Мордкович и др.]; под ред. А. Г. Мордковича. - 19-е изд., стер. - М.: Мнемозина, 2015".
Пособие адресовано
Пособие адресовано
Полная аннотация
Издательство
Серия
Все характеристики
Аннотация
В пособии решены и в большинстве случаев подробно разобраны задачи и упражнения из задачника "Алгебра. 8 класс. В 2 ч. Ч. 2. Задачник для учащихся общеобразовательных организаций / [А. Г. Мордкович и др.]; под ред. А. Г. Мордковича. - 19-е изд., стер. - М.: Мнемозина, 2015".
Пособие адресовано родителям, которые смогут проконтролировать правильность решения, а в случае необходимости помочь детям в выполнении домашней работы по алгебре.
Пособие адресовано родителям, которые смогут проконтролировать правильность решения, а в случае необходимости помочь детям в выполнении домашней работы по алгебре.
Характеристики
Издательство
Серия
ID товара
518643
ISBN
978-5-906816-05-4
Страниц
320 (Газетная)
Вес
186 г
Размеры
200x125x20 мм
Тип обложки
обл - мягкий переплет (крепление скрепкой или клеем)
Иллюстрации
Без иллюстраций
Все характеристики
Нет в продаже
Рецензии на книгу
Читали книгу? Как она вам?
Мы всегда рады честным, конструктивным рецензиям.
Покупатели 1
Книги из жанра
249396 -37% Еще 2 дня
Математика. 6 класс. Контрольные и самостоятельные работы к учебнику Н. Я. Виленкина и др.
Попов Максим Александрович310492 -37% Еще 2 дня
Геометрия. 8 класс. Дидактические материалы к учебнику Л. С. Атанасяна и др. ФГОС
Мельникова Наталия Борисовна177281 -37% Еще 2 дня
Геометрия. 7 класс. Контрольные работы к учебнику Л.С. Атанасяна, В.Ф. Бутузова и др. ФГОС
Мельникова Наталия Борисовна261414 -37% Еще 2 дня







